| Cas No.: | 1334237-71-6 |
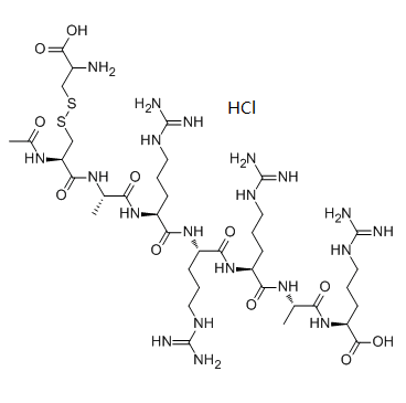
| Chemical Name: | N-acetyl-D-cysteinyl-D-alanyl-D-arginyl-D-arginyl-D-arginyl-D-alanyl-D-argininamide disulfide with L-cysteine hydrochloride |
| Synonyms: | AMG 416, KAI-4169, velcalcetide hydrochloride,Parsabiv,AMG416, 1262780-97-1 (free base) |
| SMILES: | C[C@@H](NC([C@H](NC([C@H](NC([C@H](NC([C@H](NC([C@H](NC(C)=O)CSSC[C@H](N)C(O)=O)=O)C)=O)CCCNC(N)=N)=O)CCCNC(N)=N)=O)CCCNC(N)=N)=O)C(N[C@@H](C(N)=O)CCCNC(N)=N)=O |
| Formula: | C38H73N21O10S2.HCl |
| M.Wt: | 1084.71 |
| Sotrage: | 2 years -20°C Powder, 2 weeks 4°C in DMSO, 6 months -80°C in DMSO |
| Description: | Etelcalcetide hydrochloride (AMG 416 hydrochloride) is a synthetic peptide as an activator of the calcium sensing receptor (CaSR). Etelcalcetide hydrochloride is effective in lowering parathyroid hormone (PTH) concentrations in patients receiving dialysis with secondary hyperparathyroidism receiving hemodialysis[1]. |

To enhance service speed and avoid tariff delays, we've opened a US warehouse. All US orders ship directly from our US facility.
