Alternate TextTo enhance service speed and avoid tariff delays, we've opened a US warehouse. All US orders ship directly from our US facility.
Home > RNA Delivery > Adjuvant Molecules

Adjuvant Molecules

You can also try the following methods, and our professionals will serve you Customized Consultation
Cat. No. Product Name Field of Application Chemical Structure
DC28230 Loxoribine Featured
Loxoribine (7-Allyl-8-oxoguanosine) is a guanosine analog with anti-viral and anti-tumor activities. Loxoribine is an orally bioavailable and selective Toll-like receptor (TLR) 7 agonist.
More description
DC66322 WAY-327512 Featured
activate TLR8-dependent NF-kB signaling
More description
DC73561 E104 Featured
E014 is a potent, selective TLR7 agonist with EC50 of 69 nM in Ramos Blue reporter assays, >500-fold selective for TLR7 over TLR8.
More description
DC50032 CU-CPT17e Featured
CU-CPT17e shows strong NF-κB activation in TLR3, TLR8 and TLR9 HEK293 cells with EC50 values of 4.80±0.73, 13.5±0.58 and 5.66±0.17 μM, respectively. CU-CPT17e significantly improves the activity with 13.9±0.9 fold of NF-κB activation and an EC50 value of 4.8±0.7 μM. CU-CPT17e inhibits the proliferation of HeLa cancer cells by triggering apoptosis and arresting the cell cycle at the S phase. The induction of apoptosis by CU-CPT17e in HeLa cells is investigated. HeLa cells are cultured with increasing concentrations of CU-CPT17e or poly I:C or blank control (DMSO) for 24 h. Treatment with CU-CPT17e for 24 h at different concentrations (10 to 40 μM) results in an elevation of apoptotic cell population ranging from 10% to 17%, which is more effective than poly I:C at 5 μg/mL. These results suggest that the antiproliferative activity of CU-CPT17e against HeLa cells might result from its ability to directly induce apoptosis[1].
More description
DC70332 CU-CPD107 Featured
CU-CPD107 is a TLR8-specific small molecule with unique synergistic agonist activities in the presence of ssRNA, but inactive without the aid of ssRNA.CU-CPD107 significantly inhibited of R848-induced signaling in HEK-Blue hTLR8 cells with an IC50 of 13.7 uM.CU-CPD107 only inhibited synthesized small-molecule agonist-induced TLR8 signaling without affecting other TLRs.CU-CPD107 synergistically increased IFN-β, TNF-α, IL-1β, IL-6, and IL-8 mRNA expression levels in the presence of 5 μg/ml ssRNA40 in HEK-Blue hTLR8 cells, whereas CU-CPD107 alone did not. CU-CPD107 only activated TLR8-mediated signaling in the presence of ssRNA.CU-CPD107 showed no pure agonistic activity, addressing a major challenge that has existed for previous TLR7 and TLR8 agonists as vaccine adjuvants or antiviral drugs.
More description
DC49675 D18 Featured
D18 is an immune modulator. D18 acts as a TLR7/8 dual agonist (EC50=24 nM for hTLR7 and 10 nM for hTLR8, respectively). D18 increases PD-L1 expression through epigenetic regulation, thus sensitizing tumors to PD-1/PD-L1 blockade. D18 is a ADC cytotoxin uesd for the systhesis of ADC HE-S2.
More description
DC44159 Enpatoran Featured
Enpatoran (M5049) is an orally active and dual TLR7/8 inhibitor with IC50s of 11.1 nM and 24.1 nM in HEK293 cells, respectively. Enpatoran can block both innate and adaptive autoimmunity. Enpatoran is inactive against TLR3, TLR4 and TLR9. Enpatoran (M5049) can block molecule synthetic ligands and natural endogenous RNA ligands. Enpatoran (M5049) inhibits cytokine release, causing great potency in pharmacokinetic/pharmacodynamic properties.
More description
DC10653 TLR7-IN-1 Featured
TLR7-IN-1 is a novel TLR7 inhibitor.
More description
DC31070 M1002 Featured
M1002 is a first-in-class HIF-2a agonists.
More description
DC10276 C29 Featured
C29 is a potential TLR2 inhibitor.
More description
DC67233 AYK004-C1 Featured
AYK004-C1 is a TLR agonist. AYK004-C1 can be used to prepare immune adjuvants.
More description
DC28386 GSK2245035 Featured
GSK2245035 is a highly potent and selective intranasal Toll-Like receptor 7 (TLR7) agonist with preferential Type-1 interferon (IFN)-stimulating properties. GSK2245035 has pEC50s of 9.3 and 6.5 for IFNα and TFNα. GSK2245035 effectively suppresses allergen-induced Th2 cytokine production in human peripheral blood cell cultures. GSK2245035 is used for asthma.
More description
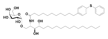
DC67240 KRN-7000(7DW8-5) Featured
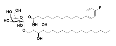
DC67238 KRN-7000(C34) Featured
DC67239 KRN-7000(S34) Featured
DC28134 α-Galactosylceramide Featured
α-Galactosylceramide (α-GalCer) is a synthetic glycolipid with antitumorial and immunostimulatory. α-Galactosylceramide is a very potent NKT cell agonist and binds effectively to CD1d. The complex of α-Galactosylceramide plus CD1d binds the NKT cell TCR (T cell antigen receptor).
More description
DC67237 TQL-1055 Featured
TQL-1055 is a semi-synthetic analog of the saponin adjuvant QS-21 (HY-101092) and can be used as a prophylactic vaccine adjuvant. TQL-1055 exhibits robust adjuvant activity for influenza antigens. TQL-1055 combined with the acellular pertussis vaccine (aP) shows good tolerance and enhances the antibody response to pertussis toxin (PT) in mice and rabbits. TQL-1055 is promising for research of chronic hepatitis B.
More description
DC67236 QS-7 Featured
QS 7 (QS 7 Api) is a saponin compound that can be extracted from the Quillaja saponaria tree. QS 7 activates immune cells, enhances their antigen presentation ability and cytokine secretion. QS 7 can be used as vaccine adjuvant for immunostimulating, anti-tumor, and anti-infectious activities.
More description
DC67234 CPG-1018 Featured
DC67235 CPG 7909 Featured
DCAP008 QS-21 Featured
QS-21, an immunostimulatory saponin, could be used as a potent vaccine adjuvant. QS-21 stimulates Th2 humoral and Th1 cell-mediated immune responses through action on antigen presenting cells (APCs) and T cells. QS-21 can activate the NLRP3 inflammasome with subsequent release of caspase-1 dependent cytokines, IL-1β and IL-18[1][2][3].
More description
DC67232 AYK004-B1 Featured
AYK004-B1 is a TLR7 agonist (EC50=0.2265 nM). AYK004-B1 can be used to prepare immune adjuvants.
More description
DC67231 AYK004 Featured
AYK004 is a TLR7/8 agonist that enhances immune responses by activating the TLR signaling pathway. AYK004 is an adenine derivative with a favorable hydrophilic-lipophilic balance, which improves the loading capacity and stability in immunoadjuvant systems such as liposomes, while reducing the side effects of the immunoadjuvant system in systemic immunity .
More description
DC67230 AYK005 Featured
AYK005 is a TLR7/8 immunologic adjuvant.
More description
DC67227 UM-3006 Featured
UM-3006 is a highly efficient TLR7/8 agonist that enhances immune responses by activating the TLR signaling pathway. UM-3006 holds significant research and application potential in the fields of vaccine adjuvants and immune diseases.
More description
DC67226 3D-MPLA Featured
3D-Monophosphoryl Lipid A-5 (3D-MPLA-5) is a TLR agonist that can be used as an adjuvant for vaccines to enhance their immunogenicity.
More description
DC67225 3D-MPL(12;16) Featured
3D-Monophosphoryl Lipid (12,16) (3D-MPL (12,16)) free acid is a TLR agonist that can be used as a vaccine adjuvant to enhance the immunogenicity of vaccines[1].
More description
DC67224 3D-Monophosphoryl Lipid (14) Featured
3D-Monophosphoryl Lipid (14) (3D-MPL (14)) is a biochemical reagent.
More description
DC67223 Monophosphoryl Lipid A-12 Featured
Monophosphoryl Lipid A-12 (MPLA-12) is a biochemical reagent.
More description
DC46463 Monophosphoryl lipid A Featured
Monophosphoryl lipid A (Glucopyranosyl lipid A) is a toll-like receptor 4 agonist. Monophosphoryl lipid A is derived from the cell wall of nonpathogenic Salmonella. Monophosphoryl lipid A can be used for the research of immunization and vaccine.
More description

Customized Consultation X

Your information is safe with us. * Required Fields.

Your name
Company
Email
Procuct Name
Cat. No.
Remark
Verification code
Please fill out the characters in the picture
X