| Cas No.: | |
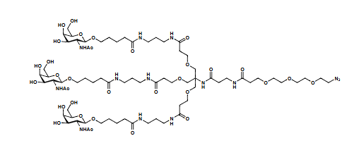
| Chemical Name: | Tris-β-GalNAc-β-Ala-PEG3-N3 |
| Synonyms: | Tris-GalNAc-β-Ala-PEG3-N3; (β-D-GalNAc)3-β-Ala-PEG3-N3; Tris-β-GalNAc-β-Alanine-PEG3-azide; Triantennary-β-GalNAc-β-Alanine-PEG3-azide |
| Formula: | C73H130N14O32 |
| M.Wt: | 1715.9 |
| Purity: | purity>95% |
| Sotrage: | 2 years -20°C Powder, 2 weeks 4°C in DMSO, 6 months -80°C in DMSO |

To enhance service speed and avoid tariff delays, we've opened a US warehouse. All US orders ship directly from our US facility.
