| Cas No.: | |
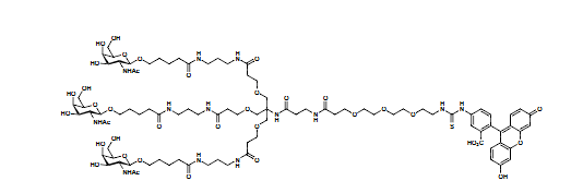
| Chemical Name: | Tris-GalNAc-β-Ala-PEG3-FITC |
| Synonyms: | Triantennary β-D-GalNAc-β-Alanine-PEG3-FITC; Tri-GalNAc-β-Ala-PEG3-FITC; (β-GalNAc-sp)3-β-Ala-PEG3-FITC |
| Formula: | C94H143N13O37S |
| M.Wt: | 2079.3 |
| Purity: | >98% |
| Sotrage: | 2 years -20°C Powder, 2 weeks 4°C in DMSO, 6 months -80°C in DMSO |

To enhance service speed and avoid tariff delays, we've opened a US warehouse. All US orders ship directly from our US facility.
