Alternate TextTo enhance service speed and avoid tariff delays, we've opened a US warehouse. All US orders ship directly from our US facility.
Home > Products

Products

You can also try the following methods, and our professionals will serve you Customized Consultation
Cat. No. Product Name Field of Application Chemical Structure
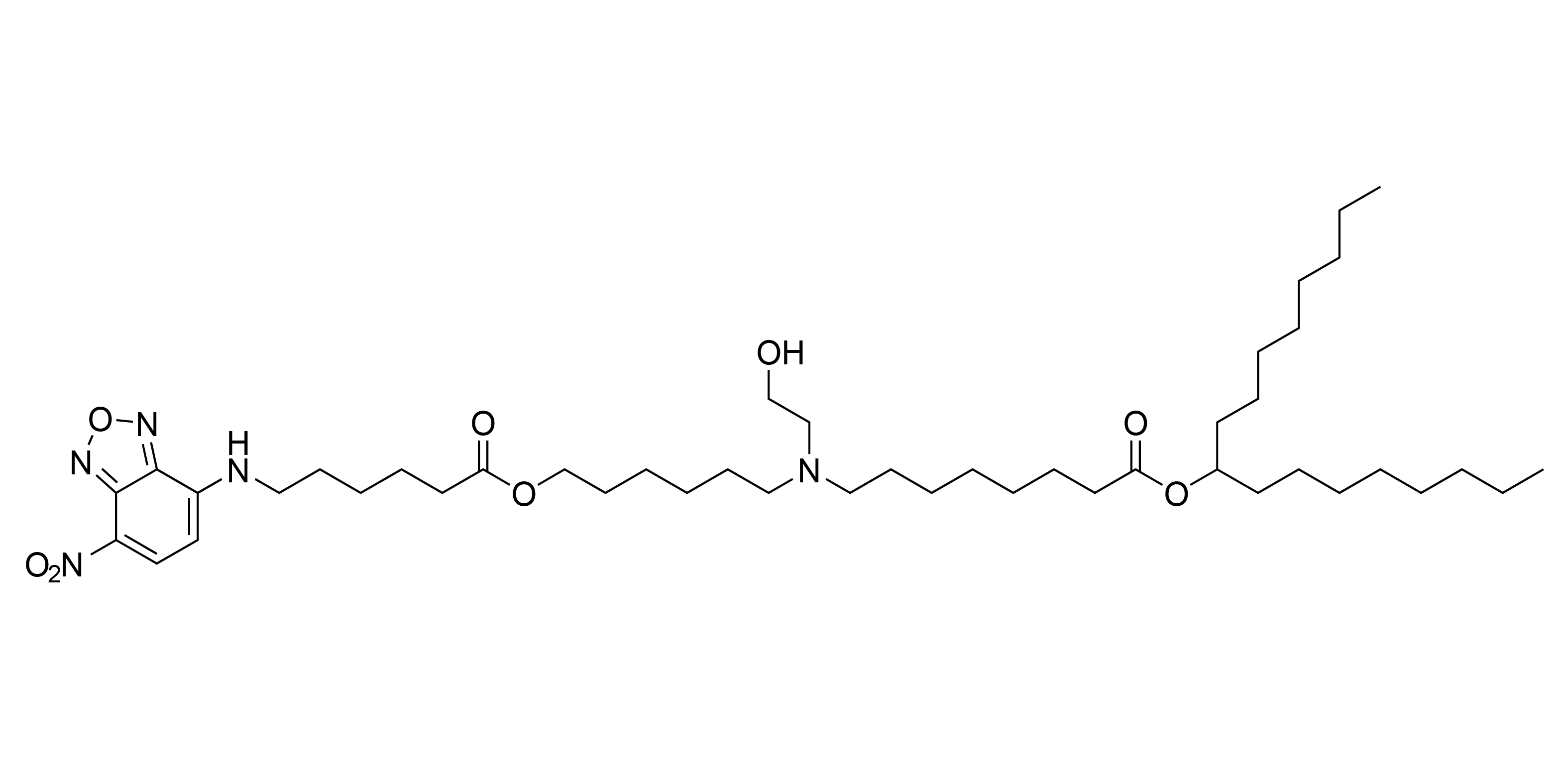
DC67994 244-9-cis Featured
244-9-cis is a novel ionizable lipid disclosed in United States Patent US 2026/0014075 A1, specifically engineered for advanced lipid nanoparticle (LNP) delivery systems. Its distinctive molecular architecture features biodegradable ester bonds, which contribute to excellent physicochemical properties such as a near-neutral surface charge (approximately -3 mV) for improved biocompatibility, an optimal pKa of about 6.2 to facilitate endosomal escape, and consistently high nucleic acid encapsulation efficiency exceeding 90%. In vivo studies confirm significantly enhanced delivery to hepatocytes and markedly higher therapeutic protein expression compared to control formulations, positioning 244-9-cis as a promising candidate for next-generation genetic medicines.
More description
DC60358 EDOPC Featured
DC8003 FRAX486 Featured
FRAX486 is a selective inhibitor of group I PAKs with IC50s of 8.25/39.5, /55.3 nM for PAK1/PAK2/PAK3 respectivelt; less potent for PAK4(IC50=779 nM).
More description
DCC5248 Trpm2 Inhibitor A23 Featured
Novel selective inhibitor of the transient receptor potential melastatin 2 (TRPM2) channel, exhibiting TRPM2 selectivity over TRPM8 and TRPV1 channels as well as phospholipase A2 and showing neuroprotective activity in vitro, and significantly reducing ce
More description
DC71034 EDMPC Featured
EDMPC, a cationic lipid, has an enhanced ability to deliver DNA to pulmonary tissues. EDMPC mediates intralobar DNA delivery to rodents.
More description
DC60878 Lipid A-12 Featured
Lipid A-12 is an ionizable cationic lipid from Capstan Therapeutics and a close analog of CICL-1 (L829). The structure was modified by the extension of the headgroup linker from a two-carbon (C2) to a three-carbon (C3) spacer compared to CICL-1 (L829).
More description
DC10040 Etrasimod(APD334) Featured
Etrasimod (APD334) is a potent, selective and orally available antagonist of the sphingosine-1-phosphate-1(S1P1) receptor with an IC50 value of 1.88 nM in CHO cells.
More description
DC31024 SM-86(Lipid 5) Featured
SM86 is a cationic, ionizable lipid developed by Moderna as a core component of its lipid nanoparticle (LNP) platform for mRNA therapeutic delivery.SM-086 is structurally optimized and analogous to SM-102 (used in Moderna’s COVID-19 vaccines), with modifications aimed at enhancing mRNA delivery efficiency and safety.SM-86 serves as the primary cationic lipid in three investigational mRNA therapies targeting rare metabolic disorders:mRNA-3927: Restores propionyl-CoA carboxylase activity in propionic acidemia (PA). mRNA-3705: Delivers methylmalonyl-CoA mutase mRNA for methylmalonic acidemia (MMA). mRNA-3210: Provides phenylalanine hydroxylase mRNA to treat phenylketonuria (PKU).
More description
DC41428 Safranal Featured
Safranal is an orally active main component of Saffron (Crocus sativus) and is responsible for the unique aroma of this spice. Safranal has neuroprotective and anti-inflammatory effects and has the potential for Parkinson’s disease research.
More description
DC67993 BRD1158-thioester Featured
BRD1158-thioester is the precursor of BRD1158.
More description
DC73554 HB3089 Featured
HB3089 (HB-3089) is a novel potent, highly specific STING agonist, dose-dependently activates interferon-stimulated gene (ISG) signaling in THP1-Dual reporter cells with EC50 of 1-10 uM.
More description
DC67992 BRD 1158 Featured
BRD1158 is a selective, fully reversible and brain-penetrant COX2 inhibitor . It has a rapid target kon and koff rates which makes it a good candidate as a PET radiotracer to monitor enzyme dynamics in vivo. The radiotracer BRD1158 is particuarly suited for imaging in tissues (such as microglia) where basal COX2 expression is very low, and has demonstrated its in vivo imaging potential in rodent models that express human COX2 (including a mouse Huntington's disease model in which COX2 expression is elevated in disease-affected brain regions).
More description
DC67558 AMG1541 Featured
AMG-1541 is a degradable cyclic amino alcohol ionizable lipid optimized for mRNA vaccine delivery using lipid nanoparticles (LNPs). Formulated typically with DOPE, cholesterol, and PEG-lipids, AMG 1541 LNPs have a diameter of ~85 nm, PDI of 0.107, and encapsulation efficiency of 67%, ensuring stability and efficient mRNA delivery. In vitro, it outperforms benchmarks like SM-102, showing enhanced transfection in cells such as C2C12 and PBMCs. In vivo, intramuscular administration in mice results in robust protein expression within 6 hours and induces potent immune responses, including high antibody titers and Th1-biased T-cell activation, with minimal inflammation. Mechanistically, its β-hydroxyl groups form hydrogen bonds with mRNA phosphate backbones, facilitating endosomal escape. AMG1541 degrades rapidly under enzymatic conditions, reducing long-term toxicity, and is effective for vaccines targeting pathogens like influenza and SARS-CoV-2, making it a promising candidate for clinical applications.
More description
DC67298 Lipid 5D8 Featured
Lipid 5D8 is a novel biodegradable ionizable lipid (IL) developed through a combinatorial chemistry strategy to overcome the limitations of conventional lipid nanoparticles (LNPs) in mRNA delivery. Synthesized via a one-step, solvent-free Michael addition reaction between amine and thiol monomers, 5D8 features asymmetric lipid tails and a biodegradable ester backbone, ensuring both structural versatility and reduced toxicity. In preclinical studies, 5D8-based LNPs demonstrated exceptional liver-targeting efficiency and mRNA delivery performance. A single intravenous dose (1 mg/kg) achieved 61% CRISPR-Cas9-mediated editing of the TTR gene in mice, reducing serum TTR protein by 90%, outperforming benchmark lipids like C12-200 (51% editing). Moreover, 5D8 enabled efficient delivery of base editors (ABE8.8 and CBE4max), achieving 42% PCSK9 editing (74% serum protein reduction) and correcting hereditary tyrosinemia in mice, significantly extending survival. Beyond gene editing, 5D8 LNPs effectively delivered siRNA (complete serum TTR clearance at 0.05 mg/kg) and enhanced hepatocyte targeting by enriching apolipoprotein E on particle surfaces. Crucially, 5D8 exhibited superior biocompatibility with no hepatotoxicity (normal ALT/AST levels), contrasting traditional LNPs. Its rapid biodegradability and "plug-and-play" design make 5D8 a versatile platform for mRNA therapeutics, holding broad potential for treating genetic disorders, cardiovascular diseases, and beyond. This innovation represents a critical advancement toward safer, high-efficiency clinical translation of gene-editing therapies.L
More description
DC60782 Lipid A4B4-S3 Featured
A4B4-S3 is a novel biodegradable ionizable lipid that has been meticulously designed through modular platforms and optimized specifically for mRNA delivery. It serves as a critical component of lipid nanoparticles (LNPs) and enhances mRNA delivery efficiency by facilitating endosomal escape. The structural design of A4B4-S3 leverages the Passerini reaction, a highly efficient and modular chemical method that enables the rapid generation of diverse lipid libraries. The design focuses on optimizing the methylene units between lipid headgroups and linkages to strengthen hydrogen bonding interactions with mRNA ribophosphate complexes. This enhanced hydrogen bonding allows for more effective release of mRNA from endosomes, thereby boosting delivery efficiency. Concurrently, the structural optimization improves biodegradability, reducing potential long-term toxicity risks. In experimental studies, A4B4-S3 has demonstrated superior gene editing efficacy in mouse liver compared to SM-102, a clinically prevalent lipid used in Moderna's COVID-19 vaccine. It also shows potential for repeat-dose protein replacement therapies, suggesting enhanced stability and safety for long-term treatment regimens. Technologically, A4B4-S3 not only provides a more efficient LNP formulation but also deepens the understanding of the relationship between structure and delivery efficiency. This offers new directions for the development of future mRNA therapeutics. In summary, A4B4-S3 represents a next-generation delivery carrier achieved through rational design and high-throughput screening strategies. Its performance enhancements and biodegradable properties position it as a promising candidate for gene therapies and vaccine applications.
More description
DC80066 306Oi10 Featured
306Oi10 is a branched-chain ionizable lipidoid that has shown significant promise in the generation of lipid nanoparticles (LNPs) for mRNA delivery. Its unique structural and functional properties make it a highly efficient delivery vehicle for mRNA-based therapeutics.
More description
DC67662 Lipid 48 (CC14-L2-T14) Featured
Lipid 48​ is a leading ionizable lipid designed for therapeutic nucleic acid delivery. Its key function is to form the core of lipid nanoparticles (LNPs) that efficiently encapsulate and deliver cargoes like mRNA and CRISPR guide RNAs into cells. Its optimized structure allows it to remain neutral in the bloodstream for low toxicity but become positively charged in acidic cellular compartments (endosomes), where it disrupts the membrane to release the therapeutic payload. Data from the patent demonstrates its superior profile: it achieves high gene editing efficiency (e.g., ~80% indel rates in vitro and 16.2% in vivo in mouse liver) while maintaining low cytotoxicity (cell viability >80% at effective doses), establishing it as an ideal candidate for gene therapy applications due to its exceptional balance of potency and safety.
More description
DC57006 L319 Featured
L319 (LIPID 319) is a novel ionizable, biodegradable lipid for delivery of short interfering RNAs (siRNAs). L319-LPN displays rapid elimination with pKa of 6.38 and also shows well tolerated up to 10 mg/kg.
More description
DC67546 ALC-0307 Featured
ALC 0307 is an ionizable amino lipid developed by Acuitas Therapeutics, serving as the critical functional component in lipid nanoparticles (LNPs) for targeted therapeutic delivery. As the core cationic lipid in specific LNP formulations (e.g., k-abe for CPS1-Q335X correction), its key feature is pH-dependent chargeability: it remains neutral at physiological pH but becomes positively charged in acidic environments like endosomes. This property enables efficient encapsulation of nucleic acid payloads (>97% efficiency, e.g., base editor mRNA/gRNA complexes) and facilitates endosomal escape via membrane disruption post-cellular uptake.​​ Its optimized structure promotes selective hepatocyte targeting by binding endogenous apolipoprotein E (ApoE), which subsequently interacts with LDL receptors on liver cells. Preclinical studies show rapid clearance (>99.5% plasma reduction in 14 days) and manageable transient toxicity (mild, reversible cytoplasmic vacuolation in hepatocytes, short-term ALT/AST elevation). LNPs containing ALC0307, alongside helper lipids (cholesterol, DSPC, and PEG-lipid ALC-0159), form stable ~73 nm particles with low polydispersity. This combination enables repeatable, liver-directed delivery of gene editing therapeutics with minimized off-target effects, underpinning its use in individualized in vivo gene correction therapies.
More description
DC52025 SM-102 Featured
SM-102 is an ionizable amino lipid that has been used in combination with other lipids in the formation of lipid nanoparticles.Administration of luciferase mRNA in SM-102-containing lipid nanoparticles induces hepatic luciferase expression in mice. Formulations containing SM-102 have been used in the development of lipid nanoparticles for delivery of mRNA-based vaccines.
More description
DC86601 Lipid 8 Featured
Lipid 8 iLNPs were used to deliver CRISPR-Cas9 mRNA and sgRNA which targeted to the PLK1 gene. The safety and excellent intracerebral diffusion performance of lipid 8 iLNPs ensured that the survival of murine glioblastoma multiforme (GBM) mice was extended. The median survival was extended by approximately 50% and the overall survival was increased by 30%. The treatment of metastatic adenocarcinoma was executed by the EGFRtargeted lipid 8 iLNPs. These iLNPs possessed the ability of tumor targeting, which could increase the accumulation of CRISPR-Cas9 mRNA and sgRNA within the tumor cells. After a single intraperitoneal administration, 80% PLK1 gene was edited and the overall survival of mice with high-grade ovarian cancer malignant ascites was enhanced by 80% . These results demonstrate the clinical potential of CRISPR-Cas9 gene editing system can be delivered by iLNPs for treating tumors, and provide new ideas for tumor gene therapy.
More description
DC80072 306-O12B (Triscormin) Featured
306-O12B is a cationic lipidoid.306-O12B LNP is more efficient than MC-3 LNP in inducing loss-of-function mutations in Angptl3 through CRISPR-Cas9-based genome editing. It has been used in the generation of lipid nanoparticles (LNPs). Intravenous administration of LNPs containing 306-O12B and encapsulating an mRNA reporter accumulate specifically in the mouse liver. LNPs containing 306-O12B and encapsulating mRNA encoding the Cas9 nuclease (mCas9) and single-guide RNA targeting Angptl3 (sgAngptl3), the gene encoding angiopoietin-related protein 3, have been used to induce CRISPR-mediated gene knockdown in mice resulting in a reduction of serum Angptl3 protein, LDL, and triglyceride levels. A novel ionizable lipids library was constructed by a combinatory solvent-free Michael addition reaction between disulfide bondincorporated acrylate lipid tails and amine-containing heads. In this library, the tail-branched bioreducible ionizable lipid 306-O12B was screened out. Due to the presence of special ester bonds and branches in lipid tails, the accumulation of iLNPs in the liver was increased, and endosome escape was prompted. These iLNPs were used to deliver CRISPR-Cas9 mRNA and sgRNA targeting to angiopoietin-like 3 (Angptl3). Compared with FDA-approved MC3, 306-O12B induced more specific and efficient Angptl3 gene knockout in the liver, resulting in significant decrease in the levels of serum Angptl3 protein, low-density lipoprotein cholesterol (LDL-C), and triglyceride. According to the molecular shape hypothesis outlined several decades ago, the increase of branches can create ionizable lipids with more cone-shaped structure to enhance the destructiveness of the membrane structure of the endosome and increase mRNA release. However, it is unknown whether the structural stability of iLNPs will be sacrificed with the increase of branches. The optimal branches and chain length need to be further explored.
More description
DC49952 246C10 Featured
246C10 is a synthesized ionizable lipid. 246C10 can be formulated into lipid nanoparticles (LNPs) with dioleoylphosphatidylethanolamine (DOPE), cholesterol, and C16-PEG2000 ceramide (PEG-lipid) as well as mRNA. The lipid nanoparticle formulations can be used for mRNA delivery. To obtain iLNPs that could specifically target liver sinusoidal endothelial cells (LSECs), six different ionizable lipids (241C10 to 246C10) were synthesized by an epoxide ring-opening reaction with piperazine- or piperidine-containing amines. Biodistribution and gene regulation of various iLNPs were assessed in vivo, and the results showed that the 246C10 iLNPs (containing piperazine amine) had the highest luciferase expression in the liver. When further analyzing the 246C10 iLNPs transfection efficiency in different types of liver cells, it was found that tdTomato fluorescence was mainly concentrated in hepatocytes, not in LSECs. Figure 6f shows that 80% of hepatocytes are fluorescent, 40% of LSECs are fluorescent, and 20% of Kupffer cells are fluorescent. Due to the mannose receptor on LSECs, mannose-PEG lipid was introduced into 246C10 iLNPs to alter the distribution of iLNPs in different liver cells. As shown in Figure 6g, tdTomato fluorescence distribution was 15% of hepatocytes, 70% of LSECs, and 15% of Kupffer cells, significantly improved the ability of iLNPs to actively target LSECs. In contrast, this work indirectly shows that the iLNPs with piperazine head lipid are more able to deliver mRNA to the liver and translate the target protein than the iLNPs with piperidine head lipid. It is worth mentioning that the preparation buffer of 246C10 iLNPs could influence the encapsulation efficiency of mRNA. With the addition of sodium chloride in the citrate buffer, the encapsulation efficiency of CRISPR-Cas9 mRNA and sgRNA was increased. These iLNPs were able to treat hemophilia safely, without causing hepatotoxicity, the immune response induced by Cas9 and off-target editing.
More description
DC58046 C12-200 Featured
C12-200 is a well-known cationic lipid used in the formulation of lipid nanoparticles (LNPs) for the delivery of therapeutic nucleic acids, including siRNA, mRNA, and CRISPR components. It is widely recognized for its high in vivo potency at low doses and is often used as a positive control ionizable lipid in research exploring new ionizable lipids.
More description
DC49882 CKK-E12 Featured
CKK-E12 is a ionizable lipid in combination with other lipids make up the lipid nanoparticles which are used to deliver RNA-based therapeutics. cKK-E12 was highly selective toward liver parenchymal cell in vivo.Multitail lipids usually have three or more tails and tend to form more cone-shaped structures due to the increase of tail crosssection, which enhances the endosome escape and mRNA delivery efficiency.CKK-E12 is an ionizable lipid with four lipid tails and diketopiperazine core-based head. It has shown excellent efficiency in delivering CRISPR-Cas9 mRNA and sgRNA.cKK-E12 iLNPs encapsulated mRNA was used to investigate the effect of Toll-like receptor 4 (TLR4) on iLNPsmediated mRNA delivery, and it has been demonstrated that the targeting, safety and efficacy of iLNPs are closely related to disease state. In other words, even though iLNP delivers therapeutic mRNA to a given cell type in one disease state, it is not guaranteed to deliver mRNA to the same cell type in another disease. As same as MC3 and C12-200, CKK-E12 is also used to be a positive control ionizable lipid when exploiting new ionizable lipids.
More description
DC57046 ATX-126(ATX-0126, lipid 10p) Featured
ATX-126(ATX-0126, 10p) is an ionizable cationic lipid (pKa = 6.38).It has been used in the generation of lipid nanoparticles (LNPs) for the delivery of siRNA. Intravenous administration of LNPs containing ATX-126(ATX-0126, 10p) and encapsulating Factor VII siRNA decrease Factor VII blood levels in mice.
More description
DC10800 DLin-MC3-DMA Featured
D-Lin-MC3-DMA(MC3) is the most potent cationic lipid that has been synthesized for Lipid nanoparticles (LNPs) to deliver the siRNA.
More description
DC60825 11-10-8 Featured
11-10-8 is an ionizable cationic lipid (pKa = 6.22) that has been used in the generation of lipid nanoparticles (LNPs) for mRNA delivery in vivo.1 LNPs containing 11-10-8 and encapsulating mRNA encoding the Cas9 nuclease and small-guide RNA (sgRNA) targeting transthyretin (TTR), a thyroid hormone carrier protein, decrease serum levels of TTR in mice. LNPs containing 11-10-8 and encapsulating mRNA encoding human fibroblast growth factor 21 (hFGF21) increase serum levels of hFGF21, decrease body and liver weights, and reduce the liver steatosis score in a mouse model of obesity induced by a high-fat diet.
More description
DC49932 FTT5 Featured
FTT5 is a lipid-like compound for efficient delivery of long mRNAs in vivo.
More description
DC60855 4A3-SC7​​ Featured
4A3-SC7​​ is a proprietary, ionizable lipid component central to the SORT LNP platform developed for targeted organ delivery. It features a unique ​​branched-tail structure​​ designed to enhance mRNA encapsulation and endosomal escape. In the study, it served as the ​​primary ionizable lipid​​ in both Liver SORT LNPs and updated Lung SORT LNPs. For liver targeting, it was formulated at ​​15.04 mol%​​ alongside helper lipids (DOPE: 23.04%, Cholesterol: 38.72%), PEG-lipid (DMG-PEG2000: 3.2%), and the liver-targeting lipid ​​4A3-Cit (20 mol%)​​. This specific composition (Total lipid:RNA = 20:1 wt/wt) yielded LNPs with ​​~74 nm size​​, ​​low PDI (0.17)​​, and ​​high encapsulation efficiency (87%)​​ for large mRNAs like ABE editors (~5000 nt). Its branched-tail architecture was critical for stabilizing nanoparticles encapsulating large RNAs, overcoming a key limitation of previous formulations. 4A3-SC7-based Liver SORT LNPs enabled ​​>40% base editing in hepatocytes​​ in vivo, achieving durable correction of the disease-causing SERPINA1 mutation in PiZ mice and significantly reducing pathological protein aggregates. In the updated DualSORT system, 4A3-SC7 was also paired with ​​DORI​​ (instead of DOTAP) for improved lung targeting, demonstrating its versatility as a foundational ionizable lipid for multi-organ gene editing therapeutics.
More description

Customized Consultation X

Your information is safe with us. * Required Fields.

Your name
Company
Email
Procuct Name
Cat. No.
Remark
Verification code
Please fill out the characters in the picture
X