Alternate TextTo enhance service speed and avoid tariff delays, we've opened a US warehouse. All US orders ship directly from our US facility.
Home > RNA Delivery > Cationic/Ionizable Lipids

Cationic/Ionizable Lipids

In the past five years, DC Chemicals has focused on research and development in the RNA delivery field, successfully developing over 500 cationic lipid structures and maintaining an inventory of over 200 cationic lipids. We collaborate with leading gene delivery companies and research institutions worldwide, and our products and services have received widespread acclaim.
DC Chemicals has accumulated substantial experience in the synthesis of lipids, particularly for highly complex lipid molecules. Our unique chemical synthesis and purification processes often circumvent patented and literature-reported routes, allowing us to design new synthetic routes that yield lipid molecules with higher purity than those reported in literature and patents. Our representative molecules, such as LP-01, SM-102, ALC-0315, and DLIN-MC3-DMA, have purities exceeding 98% as tested by CAD-HPLC, placing them among the top purity products available.We have the capability to scale production from grams to kilograms.


Cationic ionizable lipids play a major role in the LNP formulation and its ability to transfect target cells with its cargo. The ionizable lipids are used to complex negatively charged nucleic acid cargo. The mRNA-cationic lipid complex fuses with the cell membrane and is then delivered into the cytosol. To be able to play these roles efficiently, a cationic ionizable lipid must be engineered with a suitable apparent acid dissociation constant (pKa). The apparent pKa of a cationic ionizable lipid is the likely pKa at the LNP surface. Currently, the cationic ionizable lipids in FDA-approved therapeutics all have an apparent pKa between 6-7. This is crucial for the cationic ionizable lipid to maintain a neutral charge while in systemic circulation (pH above the pKa of the lipid, pH ~7.5), as well as its ability to become positively charged in the endosome (pH ~6.5) and facilitate membrane fusion and subsequent cytosolic release.
You can also try the following methods, and our professionals will serve you Customized Consultation
Cat. No. Product Name Field of Application Chemical Structure
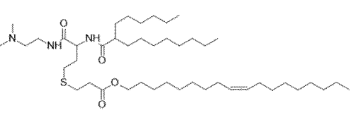
DC67452 Lipid PPz-2R1
PPz-2R1 is an ionizable cationic lipid engineered for mRNA delivery via lipid nanoparticles (LNPs). These LNPs demonstrate remarkable lung-selective accumulation in mice, showing significantly higher uptake compared to heart, liver, spleen, and kidney tissues. When loaded with PTEN mRNA, PPz-2R1 LNPs effectively restore tumor suppressor function in PTEN-deficient lung cancer cells and inhibit tumor progression in orthotopic models, with enhanced efficacy observed in combination with PD-1 blockade therapy.
More description
DC60705 FO-32
FO-32 is an artificial intelligence-guided designed ionizable lipid for RNA delivery to the muscle, lung and nose. FO-32 LNPs enable potent transfection throughout the whole ferret lung epithelium, from trachea to alveoli.
More description
DC60706 FO-35 Featured
FO35 is an artificial intelligence-guided designed ionizable lipid for RNA delivery to the muscle, lung and nose. FO-35 LNPs enable potent transfection throughout the whole ferret lung epithelium, from trachea to alveoli.
More description
DC65327 306-N16B Featured
306-N16B is a lipidnanoparticle, and allows systemic codelivery of Cas9 mRNA and sgRNA. 306-N16B can transport mRNA to the pulmonaryendothelial cell. 306-N16B can be used for research of genome editing-based therapies. Based on the same lipid libraries with 306-O12B, the researchers also found that N-series ionizable lipids were able to selectively deliver mRNA to the lungs of mice. Compared with the liver-targeted O-series ionizable lipids which contained ester bond in lipid tail found in previous work, such as 306-O12B, the N-series ionizable lipids with the lipid tail containing amide bond prefer to deliver mRNA to the lung. As a N-series ionizable lipid, the chemical structure of the 306-N16B is shown in Figure 4a,b. The difference of organ targeting may be due to their adsorption of different protein coronas during blood circulation caused by their different structures mentioned earlier.It has shown that the second major protein of the protein corona adsorbed by liver-targeting 306-O12B iLNPs was apolipoprotein E (ApoE), while the three dominant proteins in the protein corona adsorbed by lung-targeting 306-N16B iLNPs were serum albumin, fibrinogen beta chain, and fibrinogen gamma chain. However, the 306-N16B iLNPs showed less organ selectivity when systematically codelivered Cas9 mRNA and sgRNA in vivo, which could simultaneously activate tdTomato expression in the liver and lung of Ai14 mice, whereas single mRNA delivery could almost exclusively deliver mRNA to the lungs. This surprising phenomenon requires further investigation. Both the change of iLNPs charge and the change of lipids functional group can influence the distribution of iLNPs in vivo due to the altering of protein corona composition. Therefore, it is possible to control the organ targeting of iLNPs by controlling the composition of the outer protein corona of iLNPs.
More description
DC60506 IR-117-17
IR-117-17 (A10-LIN) is an ionizable and biodegradable lipid specifically designed for nebulized mRNA delivery. When formulated into lipid nanoparticles (LNPs), IR-117-17 demonstrates remarkable efficacy, achieving a 300-fold enhancement in lung mRNA delivery compared to the best-performing LNP previously reported. Additionally, it shows a two-fold improvement over the leading PBAE-based delivery system, with up to a 45-fold increase in mRNA delivery efficiency to the large airways.
More description
DC67525 Hopewell Lipid 649 Featured
L649 is a next-generation, lung-targeting ionizable lipid specifically designed for systemic mRNA delivery developed by Hopewell. Belonging to the novel "N-series" lipid class, it features a unique structure with an amine-containing head group and hydrophobic tails incorporating amide bonds. This design enables L649 to form highly stable lipid nanoparticles (LNPs) that exhibit exceptional tropism for the lower respiratory tract (lungs, bronchi, trachea) following intravenous administration. It demonstrates superior efficiency in delivering therapeutic payloads (like mRNA) specifically to key lung cell types, including alveolar epithelial cells (AT1 and AT2) and bronchial cells, while minimizing off-target accumulation in organs like the liver. L649-based LNPs, particularly when formulated with helper lipids like POPE, combine high potency with significantly improved tolerability, allowing for effective dosing in vivo. This makes L649 a promising candidate for developing treatments for various lung diseases such as pulmonary fibrosis, COPD, lung cancer, and infectious diseases like COVID-19.​
More description
DC60849 THOR 76 Crude
THOR 76​​ is an ionizable lipid developed for lung-targeted mRNA delivery, synthesized via a high-throughput Ugi four-component reaction (U4CR). It combines spermine (N3, amine core), oleyl aldehyde (A2), oleic acid (C2), and a morpholine-functionalized isonitrile (D3). Remarkably, its ​​crude reaction mixture​​ outperforms purified forms in efficacy, suggesting synergistic impurities or intermediates enhance function. Formulated into lipid nanoparticles (LNPs) with cholesterol, DOPE, and PEG-lipid, THOR 76 LNPs exhibit ​​exceptional lung tropism​​ with secondary spleen affinity after intravenous administration. They efficiently transfect ​​pulmonary endothelial cells​​, enabling robust gene expression (e.g., Cre recombinase) and significant CRISPR-Cas9-mediated gene editing (1.22% at 0.1 mg/kg dose) in the lungs. With a particle size <150 nm, positive zeta potential, and >90% mRNA encapsulation, THOR 76 achieves targeted delivery while minimizing off-target effects in the liver. Its design overcomes limitations of cationic helper lipids, offering a potent, tolerable platform for treating pulmonary genetic disorders and cancers.
More description
DC60566 Lipid CAD9 (3-A2-7b)
Lipid CAD9 (3-A2-7b is a cationic degradable (CAD) lipid. 3-A2-7b formulated LNP, LNP-CAD9, can deliver FLuc mRNA to the lungs in vivo. LNP-CAD9 co-delivering Cas9 mRNA/VEGFR2 single guide RNA (sgRNA) effectively induces VEGFR2 knock out in lung endothelial cells of female mice.
More description
DC60838 A3T2C7 (CP-LC-1495)
A3T2C7 (CP-LC-1495) is a biodegradable ionizable lipid featuring three β-propionate linkers and an azetidine polar head, formulated in four-component LNPs. It demonstrates exceptional lung-targeted mRNA delivery with 97.1% selectivity and high protein expression (1.21×10⁸ p/s) in mice. Its slightly positive zeta potential (~3.5 mV) correlates with lung tropism, likely mediated by protein corona enrichment of vitronectin and prothrombin. The β-propionate structure enables pH-sensitive biodegradability for enhanced endosomal escape while maintaining low cytotoxicity (>90% cell viability). This lipid enables organ-specific mRNA delivery without permanently charged additives, outperforming conventional SORT strategies in selectivity and expression efficiency.
More description
DC67280 Lipid 35
Lipid 35 is an novel ionizable lipid designed to enhance the delivery of mRNA to specific tissues, particularly the lungs.Lipid 35 demonstrates superior chemical stability, especially in storage conditions. This stability ensures that the lipid maintains its integrity over extended periods, making it ideal for long-term storage and large-scale production.Lipid 35 exhibits high transfection efficiency in various cell types, including nonimmune cells, endothelial cells, and epithelial cells. Lipid 35 has demonstrated excellent biocompatibility and safety in preclinical studies. It does not cause significant liver damage or adverse immune responses, making it a safer alternative for therapeutic applications.
More description
DC67315 Lipid AA15
The AA15 lipid, an amino acid-derived ionizable lipid, integrates a carboxylic acid-containing headgroup and biodegradable branched ester tails (R2) to enhance mRNA delivery. Optimized as AA15V LNP, it exhibits a hydrodynamic diameter of 102.3 ± 4.1 nm, low polydispersity (PDI <0.15), and slightly positive zeta potential (+4–6 mV), enabling efficient tumor-targeted delivery. With a pKa ~6.1–6.4, AA15V ensures protonation in acidic endosomes, promoting mRNA release. It achieves >85% mRNA encapsulation efficiency, critical for stable saRNA delivery. In vitro, AA15V LNP-sSE-SCTs induced sustained SE-SCT expression (69% H-2Kb+β2m+ B16F10 cells at 72 h), outperforming mRNA formulations. In vivo, a single intratumoral dose of AA15V LNP-sSE-SCTs suppressed tumor growth by 22-fold in vaccinated mice, synergizing with checkpoint inhibitors (anti-PD-1/CTLA-4) for complete regression in 28.6% of lymphoma models. Ex vivo, AA15V enabled SE-SCT expression in human glioblastoma (7.1% CD45− cells) and lung cancer samples (5.8–8.7%), underscoring clinical potential. Key data: pKa ~6.3; encapsulation: 85–89%; zeta: +4–6 mV; size: 102.3 ± 4.1 nm. 
More description
DC67565 IAJD249
IAJD 294 is a ​​single-component ionizable amphiphilic Janus dendrimer​​ that autonomously coassembles with mRNA via simple injection into uniform monodisperse dendrimersome nanoparticles (DNPs, 85 nm diameter, PDI<0.2), eliminating complex multi-component formulations. Its optimized ​​3,5-benzoyl ester linkage​​ and symmetric hydrophobic tails enable ​​dual-organ targeting​​: ​Spleen​​: 2.97 × 10⁷ RLU (50% of total activity) ​​Lymph nodes​​: 10⁶ RLU (10× higher than IAJD 87) through ​​partial hydrophobic interdigitation​​ (stabilizing DNPs for enhanced lymphatic uptake) and ​​pKa ~6.5​​ (facilitating endosomal escape), validating constitutional isomerism for precision delivery.
More description
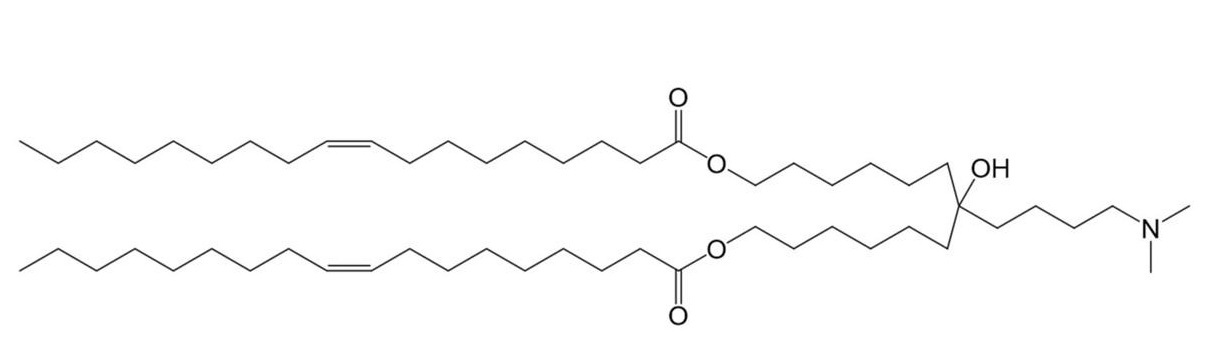
DC67544 HCQ Lipid 4(HCQ-4)
HCQ-4​​ is a rationally engineered ionizable lipid derived from hydroxychloroquine (HCQ), featuring a ​​ditetradecylamine-derived twin-C14 saturated hydrocarbon tail​​ linked to the HCQ headgroup via a ​​succinic acid spacer​​. Synthesized through a three-step route involving HCQ deprotonation, ditetradecylamine carboxylation, and EDC/DMAP-mediated amidation, this lipid forms the core of optimized lipid nanoparticles (LNPs) at a molar ratio of ​​60:10:40:0.5 (HCQ-4:DOPE:cholesterol:DMG PEG2000)​​. The structure enables dual functionality: (1) ​​Spleen-selective mRNA delivery​​ (2.3-fold higher splenic vs. hepatic transfection) via 80-100 nm particle size, near-neutral charge (-3 mV), and low PEG density, facilitating immune cell uptake; (2) ​​Tumor microenvironment modulation​​ through HCQ-mediated repolarization of M2 macrophages to antitumor M1 phenotype (iNOS+ cells ↑2.5-fold, CD206+ cells ↓60%). This bifunctional design synergistically enhances mRNA cancer vaccine efficacy, demonstrating superior prophylactic/therapeutic antitumor activity and antimetastatic effects compared to clinical benchmarks like MC-3 LNP.
More description
DC67517 Westgene lipid 8
Westgene lipid 8 is a cationic lipid featuring a tertiary amine core with three alkyl chains (C1-C15) and two unsaturated C18 linoleate-like tails. Its ionizable amine enables pH-dependent charge for mRNA encapsulation in LNPs. Key structural elements include branched alkyl groups (X1/X2: C4, X3: C2) and ester-linked unsaturated R1/R2 chains, enhancing membrane fusion and endosomal escape. N Used in lipid nanoparticles (LNPs) with DOPE, cholesterol, and PEG-DMG, it demonstrates low cytotoxicity, high mRNA delivery efficiency, and spleen-targeted immune activation, making it suitable for vaccine/therapeutic delivery.
More description
DC67450 A28-C6B2
A28-C6B2 is an ionizable lipid (pKa 6.43) designed for mRNA encapsulation in lipid nanoparticles (LNPs). Following intravenous injection in mice, these LNPs exhibit spleen-selective accumulation, particularly localizing in F4/80+ macrophages and CD11c+ dendritic cells, with moderate uptake by T lymphocytes.
More description
DC60684 Lipid I97
Lipid I97 is a vitamin B5-derived ionizable lipid for mRNA vaccine delivery. Lipid I97 LNP specifically delivers the mRNA to the spleen and lymph nodes in model mice, induces balanced Th1/Th2 immune responses, and elicits the production of high levels of neutralizing antibodies with low toxicity.
More description
DC67556 Sail Lipid 2308
Sail Lipid 2308​ is a novel ionizable lipid targeting to spleen developed by Sai Biomedicine.As described on US20250205167A1, Lipid 2308 was designed with a ​​piperidine core​​ (6-membered ring) and asymmetric C17/C11 chains, this lipid achieves unprecedented ​​spleen-specificity​​. It demonstrates dominant spleen accumulation (Spleen RLU: ​​7.8E+06​​, 91.8% of total signal) with a record ​​spleen-to-liver ratio of 112.7​​ (9× higher than 2231). Despite lower protein expression (hEPO: 11,000 ng/mL), near-zero liver uptake (Liver RLU: 66,000) makes Lipid 2308 unparalleled for vaccine/immunotherapy applications targeting splenic immune cells.
More description
DC67555 Sail Lipid 2231
Sail Lipid 2231 is a novel ionizable lipid targeting to spleen developed by Sai Biomedicine.As described on US20250205167A1 Lipid 2231 features  a ​​pyrrolidine core​​ (5-membered ring) with biodegradable ester linkages and asymmetric C17/C11 hydrophobic chains. In vivo data shows moderate spleen targeting (Spleen RLU: ​​3.8E+06​​) with a spleen-to-liver ratio of ​​12.767​​. 
More description
DC60828 YK-TLR-001 Featured
YK-TLR-001 is a cyclic acetal-based ionizable lipid for mRNA delivery. YK-TLR-001 LNPs are demonstrated to enhance mRNA expression in the spleens and to induce exceptional maturation of antigen-presenting cells (APCs) and to promote antigen presentation.
More description
DC60664 Si12-C10
Si12-C10 is a siloxane-incorporated lipid for spleen-targeting mRNA delivery. The siloxane moieties enhance cellular internalization of mRNA-LNPs and improve their endosomal escape capacity, augmenting their mRNA delivery efficacy.
More description
DC13058 E8i-200
E8i-200 is a novel Branched Endosomal Disruptor (BEND) ionizable lipid, designed to enhance the efficiency of lipid nanoparticles (LNPs) in drug delivery, particularly for mRNA and protein delivery. Its unique structure, featuring terminal branching, improves endosomal escape, a critical step in the delivery of therapeutic cargo into cells.E8i-200 is designed to enhance endosomal escape, a key bottleneck in mRNA and protein delivery. Its terminal branching structure provides several advantages:Improved Endosomal Membrane Penetration: The branched structure allows E8i-200 to more effectively disrupt endosomal membranes, facilitating the release of mRNA and proteins into the cytoplasm.Enhanced Gene Editing Efficiency: E8i-200 has been shown to significantly improve the delivery of CRISPR-Cas9 ribonucleoprotein (RNP) complexes, enabling efficient gene editing in vivo.E8i-200 significantly enhanced mRNA expression in the liver, outperforming traditional linear lipids like C12-200 in mouse models.E8i-200 effectively delivered CRISPR-Cas9 RNP complexes, achieving high editing efficiency in the liver, surpassing that of linear lipids.E8i-200 also showed high transfection efficiency and low cytotoxicity in T cells, making it a promising candidate for CAR-T cell engineering and other immunotherapies.
More description
DC67549 ORNA lipid 144(1-C)
ORNA lipid 144​​ is a novel ionizable lipid engineered for splenic RNA delivery developed by ORNA Therapeutics, featuring a biodegradable structure with a protonatable tertiary amine headgroup and ester-linked branched C14 alkyl chains. This design enables exceptional spleen-targeting capability, demonstrated by 3-fold higher luciferase expression in the spleen compared to benchmark lipids and near-complete B-cell depletion when delivering anti-CD19 CAR circRNA. It forms highly stable lipid nanoparticles maintaining homogeneous size (60–80 nm) and low polydispersity across diverse manufacturing conditions and buffer systems. Rapid clearance from the liver and spleen minimizes off-target accumulation, while high circRNA encapsulation efficiency (>90%) and pH-dependent endosomal escape make it ideal for immunotherapies and vaccines requiring precise splenic bioavailability and sustained efficacy.
More description
DC67568 ORNA Lipid AX-6 Featured
AX6​​ is an ionizable lipid in the ​​F32 LNP​​ formulation, engineered by ReNAgade/Orna Therapeutics for targeted mRNA delivery to T cells. AX-6's unique ​​bridged bicyclic/polycyclic core​​ with a ​​tertiary amine group​​ enables pH-dependent protonation and endosomal escape, while ​​C14-C18 hydrophobic tails​​ (optionally branched/fluorinated) enhance bilayer stability and mRNA encapsulation. Demonstrating ​​exceptional T-cell tropism​​, AX6 achieves high transfection efficiency in CD4+/CD8+ T cells (validated in NHP/humanized models) with minimal toxicity. Compared to clinical benchmarks (SM-102, ALC-0315), its rigid core offers superior ​​serum stability​​ and ​​immune-cell specificity​​, positioning it as an ideal candidate for ​​CAR-T/NK therapies​​ and ​​next-gen vaccines​​. The F32 LNP system's proven efficacy (e.g., in vivo B-cell depletion) underscores AX 6's transformative potential for ​​cell engineering​​ and ​​immunotherapies​​.
More description
DC67601 Sanofi Lipid 15 Featured
Sanofi Lipid 15 is a highly efficient ionizable cationic lipid for T-cell transfection. Its unique structure enables superior mRNA delivery to T cells, with key features including: 1) pH-responsive ionization (pKa ~6.5-7.2) for optimal endosomal escape, 2) biodegradable ester linkages for reduced toxicity, and 3) optimized hydrophobic tails for membrane fusion. When formulated in LNPs with CD3/CD8-targeting antibodies, Lipid 15 achieves >50% transfection efficiency in primary human T cells, with 2-3× higher GFP expression than DLin-KC3-DMA controls. The LNPs maintain stable particle size (~100nm) after freeze-thaw cycles and show minimal off-target effects (<5% non-T cell transfection). This performance makes Lipid 15 ideal for CAR-T and TCR engineering applications.
More description
DC67283 C14-490(C14-3)
C14-490 is an ionizable cationic lipid (pKa = 5.94).1 It has been used in the generation of lipid nanoparticles (LNPs) for the delivery of mRNA in vivo.C14-490-containing LNPs accumulate primarily in the fetal mouse liver and, to a lesser extent, in the lungs, intestine, and brain after vitelline vein injection on gestational day 16 (E16).1 CD45-functionalized LNPs containing C14-490 and encapsulating mRNA encoding GFP transfect Jurkat cells, which constitutively express the CD45 receptor (CD45R).C14-490-containing CD45-functionalized LNPs encapsulating Cre mRNA mediate genome modulation in bone marrow hematopoietic stem cells (HSCs) for at least four months after in utero injection in R26mT/mG mice at E13.5.
More description
DC60841 Lipid F11T6
F11T6 is a next-generation lipid nanoparticle (LNP) optimized for ultra-efficient neuron-targeted mRNA delivery, featuring a dual-tetrahydrofuran (THF) core and four pH-responsive acetal tails. Its unique bis-THF architecture enhances lipid bilayer stability and promotes brain-specific biodistribution, achieving ​​16.4% GFP+ neurons​​ in vivo—the highest reported among CNS-targeting LNPs. Cryo-EM reveals a compact spherical structure (Ø~150 nm) with 93.2% mRNA encapsulation efficiency, while THF-acetal synergy enables rapid endosomal escape (Pearson coefficient: 0.16 vs. 0.27 for F10T5). Preclinical studies show F11T6 leverages meningeal lymphatic transport for brain accumulation, yielding ​​13.0% neuron-specific tdTomato expression​​ in Ai14 mice, surpassing F10T5 (8.93%) and SM102 (0.1%). Mechanistically, the dual-THF core strengthens interactions with lipoprotein receptors on brain endothelial cells, whereas acetal tails undergo acid-triggered hydrolysis in endosomes, releasing mRNA into the cytoplasm. Despite slightly higher liver/spleen accumulation than F10T5, toxicology assessments confirm no hepatorenal toxicity (BUN/ALT/AST within normal ranges) or histopathological changes. Co-localization analyses demonstrate superior penetration into deep brain regions like the hippocampus, critical for treating neurodegenerative disorders. With a LogD of 12.3, F11T6 balances lipid solubility and biodegradability, outperforming clinical benchmarks in both efficiency (40× SM102) and neuron specificity. This platform holds transformative potential for delivering CRISPR-Cas9, siRNA, or neurotrophic factors, particularly in diseases demanding high-dose CNS transfection with minimal off-target effects.
More description
DC82115 BAMP-TK-12
BAMP-TK-12 is ROS‐degradable lipid used for gene/RNA delivery.
More description
DC60466 Lipid H9
H9 is a new ionizable lipid driven from AI-Guided Ionizable Lipid Engineering (AGILE) platform for mRNA delivery. H9 LNPs shows superior mRNA transfection potency compared to LNPs containing (D-Lin-MC3-DMA).
More description
DC65427 BP-28079
Bis(N-2-ethoxyethyl 2-hexyldecanoate)amine is a cationic lipid-like PEG compound containing a polar alcohol head group, four hydrophobic tails bound by esters, and a tertiary amine linker. The hydrophilic PEG linker increases the water solubility of the compound in aqueous media. Reagent grade, for research purpose. Please contact us for GMP-grade inquiries.
More description
DC88888 Lipidoid XMaN6
Lipidoid XMaN6 is an ionizable lipid with universality was screened out from the adamantyl-based ionizable lipid series, which could functionally deliver highly diverse types of nucleic acids.
More description

Customized Consultation X

Your information is safe with us. * Required Fields.

Your name
Company
Email
Procuct Name
Cat. No.
Remark
Verification code
Please fill out the characters in the picture
X